إرشادات مقترحات البحث معلومات خط الزمن الفهارس الخرائط الصور الوثائق الأقسام

مقاتل من الصحراء
Home Page / الأقســام / موضوعات علمية / التروبوسكاتر




وحدة مكبر قدرة تروبو
التروبو الإستراتيجي
التروبو التكتيكي
جهاز إرسال تروبو ITT
جهاز استقبال تروبو ITT

إنشاء ورقة شكل المسار
ورقة شكل جانبي
محطات إعادة الإذاعة
مخطط يوضح الكسب والفقد
مُبسط للتنوع الرباعي
أشكال مختلفة للمعيدات
معيد غير فعال
المسار بين المحطة أ ، ب
التنوع الترددي
التنوع الفراغي
العلاقة بين D. h. R
اتجاه تروبو سكاتر
توزيع المعدات داخل عربة
تروبو تكتيكي ينشأ بفردين
عاكس الهوائي




الفصل الثاني

سادساً: حسابات التروبوسكاتر

تُتَبع، عند إنشاء اتجاه تروبوسكاتر، نفس الخطوات المتبعة في مواصلات خط الرؤية المباشر، من حيث اختيار المكان المناسب لإقامة المحطة، وأعمال المسح الميداني.

1. خطوات تخطيط اتجاه التروبوسكاتر

أ. رسم شكل المسار بين المحطتين (أ، ب):

وهو عبارة عن مقطع جانبي للأرض بين النقطتين، ثم تُحسب المسافة بين المحطتين، وتُحسب زاوية البعثرة . وللحصول على ذلك يُرسم المقطع الجانبي للمسار بين (أ، ب) وباستخدام الخرائط. (أُنظر شكل المسار بين المحطة أ ، ب) كالآتي:

(1) رسم المسار عبارة عن توقيع مقطع المسقط الأمامي للأرض. وحساب مسافة الدائرة الكبرى بين محطتي الإرسال والاستقبال، ونتيجة لكون الفقد المتوقع للمسار يعتمد كثيرًا على دقة المسار بين النقطتين، تُستخدم خرائط بمقياس رسم 1: 100.000. وفي بعض الحالات الحرجة، تُستخدم خرائط بمقياس رسـم 50.000:1 أو1: 25.000 ، وتعد الخرائط ذات مقياس الرسم1: 100.000 كافية لرسم المسار الجانبي.

(2) يجب أن لا تزيد المسافة بين الكنتورات عن 5 كم، و ينبغي توقيع مكان المحطتين على الخريطة بكل عناية، ويجب اختيار وحدات القياس المناسبة للخرائط، والورق الذي سيرسم عليه المسار، سواء كانت هذه الخرائط، بالوحدات المترية أو الإنجليزية. ويمكن الحصول على هذه الخرائط من محلات الخرائط العامة، وبتكلفة قليلة. أو بواسطة البريد من قسم خدمات الخرائط للجيش الأمريكي في واشنطن، حيث يمكن أن تزود الشركات أو الهيئات الطالبة لعمل اتجاهات التروبو، بهذه الخرائط بدون مقابل، ولكن على سبيل الإعارة.

ب. ورق رسم المسار:

تُنشأ الورقة بواسطة استخدام العامل المؤثر لنصف قطر الأرض مساوياً 4\3 K Factor، والانحراف من خط المماس الأفقي، ويُمثل الرسم انحناء الأرض من الخط المستقيم الواصل بين الموقعين (أ ـ ب) بالعلاقة الآتية:

حيث h الارتفاع بالقدم من الأرض، D المسافة بالميل من نقطة التماس مع الأرض ونقطة الارتفاع h، (أُنظر شكل العلاقة بين D. h. R)، ومن العلاقة السابقة، يمكن رسم ورقة المسار. مثال: إذا كان المقياس الأفقي 10 ميل / بوصة يكون المقياس الرأسي 100 قدم/ بوصة، ويكون العرض المقابل40 ميلاً، ويفضل اختيار وتوقيع النقط التالية على ورقة المسار. (أُنظر شكل إنشاء ورقة شكل المسار)

المسافة من المركز المسافة من الأفقي ( أفقي ) ( رأسي )

صفر ميل = صفر بوصة و صفر قدم = صفر بوصة

5 أميال = 1\2 بوصة و 12.5 قدمٍ = 1\8 بوصة

10 أميال =1 بوصة و 50 قدماً = 1\2 بوصة

15 ميلاً = 1.5 بوصة و 112 قدماً = 1.125 بوصة

20 ميلاً = 2 بوصتان و 200 قدم = 2 بوصتان

وتوجد أوراق للمنظر الجانبي للمسار جاهزة، وبقيم مختلفة للعاملK. (أُنظر شكل ورقة شكل جانبي)

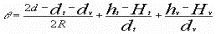
والغرض من توقيع الشكل الجانبي للمسار بين محطة الإرسال ومحطة الاستقبال، هو تحديد شكل المسار الهندسي للنظام، وبه يمكن حساب المسافة بين المحطتين، ويؤخذ من الرسم البيانات السبعة الآتية:

حيث d = مسافة الدائرة الكبرى بين هوائي الإرسال وهوائي الاستقبال.

 = المسافة للأفق من هوائي الإرسال.

 dv= المسافة للأفق من هوائي الاستقبال.

 = الارتفاع فوق مستوى البحر لإرسال الأفق.

 = ارتفاع هوائي الإرسال عن سطح البحر.

 = ارتفاع هوائي الاستقبال عن سطح البحر.

R = نصف قطر الكرة الأرضية المؤثر، وهو دالة في معامل الانكسار.

وتستخدم وحدات القياس نفسها للمسافات والارتفاعات.

ج. حساب المسافة والزاوية

عموما يمكن، من خلال الرسم، حساب هذه الزاوية، وهي عبارة عن المجموع الجبري لكل من  وزاوية الإقلاع للشعاع في كلا المحطتين  .

حيث:  وهذه الصيغ تستخدم لحساب

d = المسافة الحقيقية بين المحطتين.

a = نصف قطر الكرة الأرضية المؤثر.

وهو يساوى 3963 ميلاً، أو 6380 كم.

زاويتا الإقلاع للشعاع عند محطة الإرسال، ومحطة الاستقبال   

الزاوية 1 تقدير دائري = 1000 مللي تقدير دائري، وجميع المساقط مأخوذة من مستوى سطح البحر.

وتحسب زاوية البعثرة من العلاقة الآتية:

د. حساب فقد المسار

وتعريف فقد المسار: هو مجموع الفقد الناتج عن انتشار الموجات في الفضاء الحر، إضافة إلى الفقد الموجود بالمحطة نفسها. ويمكن حساب فقد المسار على أساس الهوائي المشع في جميع الاتجاهات Isotropic antenna.

يحسب فقد المسار من العلاقة الآتية:

حيث F = تردد الانتشار بالميجا هرتز.

D= المسافة الحقيقية بين محطتي الإرسال والاستقبال ( مسافة الدائرة الكبرى) تقدر الميل. ويمكن حساب الفقد من رسومات مجهزة لذلك.

هـ. حساب فقد البعثرة.

يعرف فقد البعثرة بأنه فقد مسار إضافي بجانب فقد المسار الحر. وتتميز به مواصلات التروبوسكاتر.

وحساب فقد البعثرة من العوامل المهمة جداً في تحقيق مستوى أداء النظام، وتستخدم لحساب فقد البعثرة منحنيات تجريبية (وصفية)، منها المنحنيات الخاصة بقسم اتصالات الدفاع الأمريكيITT. ويعتمد فقد البعثرة على تردد الانتشار، والمسافة بين المحطتين، والمسافة تعتبر دالة في معامل كروية الأرض المؤثر K.

قد وجد أن فقد البعثرة يتناسب مع التردد بالديسبل، ويزيد الفقد 3 ديسبل للأوكتاف ويساوي:

 = لتردد المعروف عنده الفقد.

 = التردد المطلوب استنتاج الفقد الخاص به.

قد جرى عمل استنتاجات فقد البعثرة وعلاقاتها المختلفة باستخدام التردد900 ميجا هرتز وللمعامل K مساويًا 1.33. وباستخدام هذه المنحنيات، يمكن حساب فقد البعثرة لباقي الترددات، كما ذكر سالفاً.

وكمثال لو كانت  = 20 مللي بالتقدير الدائري، والتردد 3600 ميجا هرتز، يكون فقد البعثرة مساوياً: 58.5 +6 = 64.5 ديسبل.

هناك عدة طرق للوصول إلى فقد مسار مواصلات التروبو. والخلاصة أن فقد المسار الكلى لمواصلة التروبو عبارة عن فقد المسار الحر، إضافة إلى فقد البعثرة، ويمكن حساب فقد البعثرة بطرق تجريبية.

و. حساب كسب الهوائيات.

وتستخدم العلاقة الآتية في حساب كسب الهوائي الطبقي المستخدم في التروبو

حيث G كسب الهوائي بالديسبل، F التردد بالميجاهرتز.

وكمثال عند التردد F = 2000 ميجاهرتز وقطر الطبق d= 10 أقدام

كسب الهوائي = 66 +20-52.5 =35.4 ديسبل

وكسب الهوائي في مواصلات التروبو يعتمد على:

(1) قطر الطبق.

(2) تردد الانتشار.

(3) مسافة المسار.

وتوجد منحنيات خاصة لحساب كسب الهوائي.

2. خطوات تنفيذ اتجاه التروبوسكاتر

لإنشاء اتجاه لاسلكي باستخدام محطات التروبو، يؤخذ في الاعتبار الآتي:

·    اختيار موقع المحطات.

·    اختيار المسار بين المحطتين.

·    عمل المسح الميداني.

وهذه الإجراءات هي الإجراءات نفسها المتبعة في نظام العمل بمواصلات خط الرؤية المباشر، مع بعض الاختلافات الخاصة بهذه النوعية من المواصلات.

أ. اختيار الموقع

من الملاحظ أنه عند وجود بعض الأخطاء في حسابات المستويات الخاصة باتجاه خط رؤية مباشر، قد يتسبب في خسارة آلاف من الدولارات، بينما قد يتسبب الخطأ نفسه في مواصلات التروبو، عدة مئات من الآلاف من الدولارات، ولذلك يجب اختيار موقع إنشاء محطة التروبو بدقة بالغة، من حيث اختيار المكان وارتفاعه، وزاوية الأفق وتحمل المكان للأجهزة، وهوائيات التروبو، وكذا معدات التوليد.

وطبيعي أن تكون مساحة المكان كبيرة لإنشاء الهوائيات, حيث إن هوائيات التروبو يصل قطرها إلى حوالي 30 قدماً. وقد يستخدم أكثر من هوائي لعمل تنوع فراغي، وكذلك يكون المكان صحيًّا، به أسباب المعيشة من ماء نقي، ومصدر كهرباء دائم بطاقة كبيرة، وكذلك أجهزة الإمداد بالقدرة الاحتياطية.

ويجب أن يؤخذ في الاعتبار الترددات العاملة، والإشعاعات الموجودة بالمكان؛ لضمان عدم تداخل هذه الترددات على مواصلة التروبو، وكذلك زاوية إقلاع الشعاع جهة موقع الإرسال وموقع الاستقبال، ويعد أهم عامل في اختيار المكان. إذ إن تقليل درجة واحدة في زاوية الإقلاع يوفر 12 ديسبل في فقد المسار بين المحطتين.

ب. اختيار المسار

يتوقف اختيار المسار على اختيار المكان، فكلما كان اختيار المكان يوفر زاوية إقلاع صغيرة، كان مناسبًا، ولكن اختلاف طول المسار في حدود عشرة أميال لا يؤثر في المسار مثلما يؤثر في عدم التوفيق في اختيار زاوية إقلاع الشعاع. ويجب اختيار أعلى نقطة لمحطة التروبو في المنطقة المعينة لإنشاء الموقع، ولكن في الوقت نفسه يجب أن يكون هذا المكان مدرعاً، ضد التداخلات اللاسلكية للترددات الأخرى العاملة بهذا المكان. وإلا يتم اختيار مكان آخر، حتى لو كان هذا الاختيار يمثل مسارًا أطول بين المحطتين.

ج. الشكل الجانبي للمسار

يُوقع شكل المسار بين المحطتين، كما هو متبع في مواصلات خط الرؤية المباشر وباستخدام خرائط دقيقة وعمل توقيع صحيح للمكان على خريطة, وعادة يستخدم مهندسو التروبو الرسم على ورق، معامل تحدب الكرة الأرضية فيه يساوى 1.33. والمهم هنا هو أول عائق في الأفق بجانب كلٍ من المحطتين.